-
By observing the movement of atoms and electrons within molecules during chemical reactions, we can uncover the mechanisms behind the breaking and formation of chemical bonds, thereby deepening our understanding of chemical processes. Building upon this foundational knowledge, it is possible to achieve precise manipulation of molecules at the electron level. This could facilitate the development of novel functional drugs, catalysts, and materials, ultimately contributing to an enhancement in the quality of human life. The ultra-short pulse duration of femtosecond lasers (1 fs=10−15 s) provides an ultrafast probe with exceptionally ultrahigh temporal resolution, making it possible to directly observe the breaking and formation of chemical bonds. For the pioneering contributions to the development and application of femtosecond laser pulse technology in studying chemical reactions, Ahmed H. Zewail was awarded the Nobel Prize in Chemistry in 1999 [1].
The advent of chirped pulse amplification (CPA) technology has overcome the limitations imposed by the damage threshold of gain media, enabling a dramatic increase in the intensity of ultra-short laser pulses. For the invention of CPA technology to generate high-intensity ultra-short optical pulses, Donna Strickland and Gérard Mourou were awarded the Nobel Prize in Physics in 2018 [2]. Current laboratory setups are capable of generating laser pulses with durations shorter than 100 fs and focused intensities exceeding 1015 W/cm2, where the electric field strength approaches or even surpasses the Coulomb field within atoms and molecules. The interaction of gaseous atoms and molecules with ultra-short, ultra-intense lasers has led to the discovery of a series of strong-field phenomena, such as above-threshold ionization [3], high-order harmonic generation [4], and non-sequential double ionization [5]. The reaction products, which serve as high-quality secondary beams, further enrich humanity’s toolkit for studying material science. For the groundbreaking work on the generation and application of attosecond (1 as = 10−18 s) light pulses for the study of electron dynamics in matter, Pierre Agostini, Ferenc Krausz, and Anne L’Huillier were awarded the Nobel Prize in Physics in 2023 [6].
The ionization probability strongly depends on the instantaneous electric field strength for atoms and molecules irradiated by intense laser pulses. The ionization time can be determined within the sub-femtosecond time precision. With the ionization moment as time zero and the generated attosecond electron beam as a probe, the concept of molecular clock realizes the probe of molecular dynamics with attosecond time accuracy for D2 molecules triggered by femtosecond laser pulses [7]. As shown in FIG. 1, D2 molecules are ionized at the maximum laser electric field, generating correlated D2+ vibrational wave packets and electron wave packets. After about two thirds of the laser optical period, the electrons are pulled back by the laser field and re-collide with the parent ion. As a result, the D2+ is excited to the dissociated state and dissociates into D+ and D. By measuring the kinetic energy of the dissociated fragment D+, the internuclear distance of D2+ at the time of re-collision can be obtained. The dissociative ionization process of D2 was realized with ultra-high spatial-temporal resolution by measuring the kinetic energy of D+ generated by intense femtosecond laser pulses with different wavelengths. The resolutions of time and space reach 200 as and 0.05 Å, respectively.
Molecules exhibit unique behaviors when exposed to intense ultra-short laser pulses [8]. Femtosecond laser has become an important tool to measure and manipulate molecular dynamics. Ionization and dissociation are two fundamental processes governing molecular behavior in intense femtosecond laser fields. Professor Fanao Kong is a pioneer in the study of molecular ionization and dissociation induced by intense femtosecond laser pulses in China [9−11]. He introduced an orbital-based molecular ionization model [12] and a laser field-assisted molecular dissociation model [13, 14] to elucidate the molecular dissociative ionization dynamics in intense femtosecond laser fields. These models provide a robust framework that effectively interprets experimental observations. Subsequent theoretical and experimental studies have further validated the predictions of these models. In this review article, we first summarize the research on strong-field molecular ionization and dissociation conducted by Professor Kong’s group. We then emphasize significant advancements in the field of strong-field laser chemistry. Finally, we present forward-looking perspectives on the future development of optochemistry and attochemistry.
-
With the development of laser technology, the interaction has been extensively studied for atoms and molecules with ultra-short intense lasers. In 1979, P. Agostini et al. experimentally observed the phenomenon of multiphoton above threshold ionization (ATI) of xenon atoms for the first time [3]. They found that the electron absorbs additional photons above six-photon ionization threshold to undergo a continuous state transition. The ATI finding opens the door to the study of strong field physics. Compared with atomic ionization, the interaction process between molecules and intense laser is more complicated due to the nuclear rotation and vibration degrees of freedom in the molecule. Molecular orbitals formed by a linear combination of atomic orbitals represent the energy and spatial distribution of electrons. The electron in the highest occupied molecular orbital (HOMO) is crucial to the physical and chemical properties of a molecule, largely determining its chemical activity. Professor Fan-ao Kong systematically studied the ionization process of molecules triggered by intense femtosecond laser pulses. An orbital-based molecular ionization model was proposed [12]. In this model, the HOMO electron was assumed to be firstly ionized. The distorted electrostatic potential was calculated by the ab initio method along the vector of the maximum electronic charge distribution parallel to the laser electric field. The ionization probability was calculated by the transfer matrix method. As shown in FIG. 2, they measured time-of-flight mass spectrum of molecules and obtained ionic intensity signals at different laser intensities. The ionization probability of the HOMO electron was calculated theoretically using the orbital-based molecular ionization model. The experimental results were well reproduced. In the subsequent comparative study of the ionization of ethane, ethylene and acetylene, the effect was perfectly interpreted by this model for HOMO orbital with different types of electrons on molecular ionization probability [15, 16]. It should be noted that the orbital-based molecular ionization model predicts that HOMO electrons are firstly ionized by laser fields along the direction of the densest distribution of electrons. This prediction was also confirmed by later experiments and used to image molecular orbitals [17].
After analyzing time-of-flight mass spectra of many polyatomic molecules in the femtosecond intense laser field, Professor Fanao Kong found that the parent molecular ions gradually dissociated into fragment ions with the increase of laser intensity. Since the dissociation time of molecules is generally longer than the pulse duration of a femtosecond laser, the fragment ions observed in the experiment are assumed to come from the direct dissociation of the parent ions. Based on abundant experimental data, Professor Fanao Kong proposed a field-assisted dissociation model to deal with the dissociation process of polyatomic molecules triggered by intense laser pulses [13, 14]. In this model, the dissociation dynamics of molecular ions is regarded as the movement of the nucleus on the dressed ground state potential energy surface modulated by the laser field. A quasi-classical trajectory simulation is carried out to predict the nuclear distance as well as the dissociation probability against the laser intensity. As shown in FIG. 3, they measured the time-of-flight mass spectrum of methane and obtained the ion signal intensities at different laser intensities. Based on the field-assisted dissociation model, they calculated the dressed potential energy curve of molecular ion dissociation channel under different external laser fields by ab initio method. As a result, the average dissociation time and dissociation threshold strength of the laser were predicted, which agreed with the experimental measurements. These studies indicate that the dissociation of molecular ions can be controlled by adjusting the laser intensity as well as the pulse duration. In the study of strong field dissociation of acetaldehyde and acetone, they used the field-assisted dissociation model to calculate the quasi-classical trajectory of the dressed ground state potential energy surface and the dissociation dynamics along different bond axes. The simulated strength of the calculated dissociation threshold shows that the dissociation of polyatomic molecules is sequential stepwise dissociation, and the predicted dissociation sequence is in good agreement with the experimental observations [14, 18, 19].
-
Cold target recoil-ion momentum spectroscopy (Coltrims) has capabilities of high momentum resolution, full solid angle collection, and coincidence measurement. It is an advanced apparatus for studying dissociative ionization of molecules triggered by laser pulses. By controlling the gas density, it can be ensured that fewer than one molecule is ionized within per laser pulse. As a result, all the ions and electrons collected in each laser pulse originate from the same molecule and are stored in event-by-event list-mode file for off-line analysis. The dissociative ionization process is very complicated for molecules in intense laser fields. The biggest advantage of Coltrims is that accurate experimental data can be obtained and the reaction process can be reconstructed for all reaction channels under the same experimental conditions. For example, fragmentation of polyatomic molecules can be achieved either through non-sequential fragmental channels (simultaneous breaking of chemical bonds) or through sequential fragmentation channels (step-by-step breaking of chemical bonds). Wu et al. experimentally studied the three-body fragmentation dynamics of CO23+ generated by intense femtosecond laser pulses by using ion-ion-ion coincidence measurement function of Coltrims [20]. The three-dimensional momentum vectors were accurately measured for all correlated atomic ions produced by the dissociation of CO23+. As shown in FIG. 4, experimental data for non-sequential fragmentation (simultaneous breaking of two C=O bonds) and sequential fragmentaion (stepwise breaking of two C=O bonds) channels of CO23+ were distinguished by developing energy correlation diagrams of two oxygen atom ions. Combined with the theoretical simulation of the three-body dissociation dynamics, the molecular configuration of CO2 was reconstructed accurately [21].
By using electron–ion coincidence measurement function of Coltrims, Lu et al. reported the experimental observation of high-order above-threshold dissociation of H2 triggered by strong femtosecond laser pulses [22]. FIG. 5 shows the electron–nuclear joint energy spectrum and exhibits multiple diagonal energy correlation lines spaced by one photon energy. This observation indicates that the electron and nuclei absorb photons as a whole, and that the high-order above-threshold dissociation and high-order above-threshold ionization occur simultaneously. They concluded that the ionized electron tunneling at a specific moment will return to the parent nucleus driven by the laser electric field to produce inelastic scattering. In this process, the electron first absorbs a large amount of photon energy in the laser field, and then transfers most of the absorbed photon energy to the nucleus when rescattering with the nucleus. These findings indicate that the coincident measurement of both electrons and ions during chemical reactions is conducive to unambiguously revealing the underlying fascinating electron–nuclear correlation dynamics.
-
Controlling molecular behavior as well as reaction dynamics has always been the dream of physical chemists. Various control schemes have been proposed, which can be divided into two categories. One is the control of reactant molecules, and the other is the control of laser fields.
-
The electrons in different molecular orbital may be ionized for molecules irradiated by an intense femtosecond laser pulse. The corresponding parent ions are in different electronic states. If the HOMO electron ionizes, the molecular ion is in the ground electronic state. If the electron in the lower-lying orbital ionizes, the molecular ion is in an excited electronic state. Wu et al. introduced a spectral method to determine the electronic states of molecular ions and then distinguished the contribution of different molecular orbitals to the ionization [23]. Because of the different spatial distribution of different molecular orbitals, the electron can be selectively ionized from different molecular orbitals when the angle between the molecular axis and the laser electric field is controlled. Yao et al. aligned CO2 molecules by using femtosecond laser-induced post-pulse molecular alignment and then ionized the aligned CO2 molecules by using another femtosecond laser [24]. As shown in FIG. 6, accurate experimental data were obtained for the ionization probability of different molecular orbits as a function of the angle between molecular axis and laser electric field by measuring the alignment-dependent fluorescence intensity from different electronic states of CO2+. It demonstrated the potential for selective ionization of electrons from distinct molecular orbitals, as well as the capability to image these molecular orbitals.
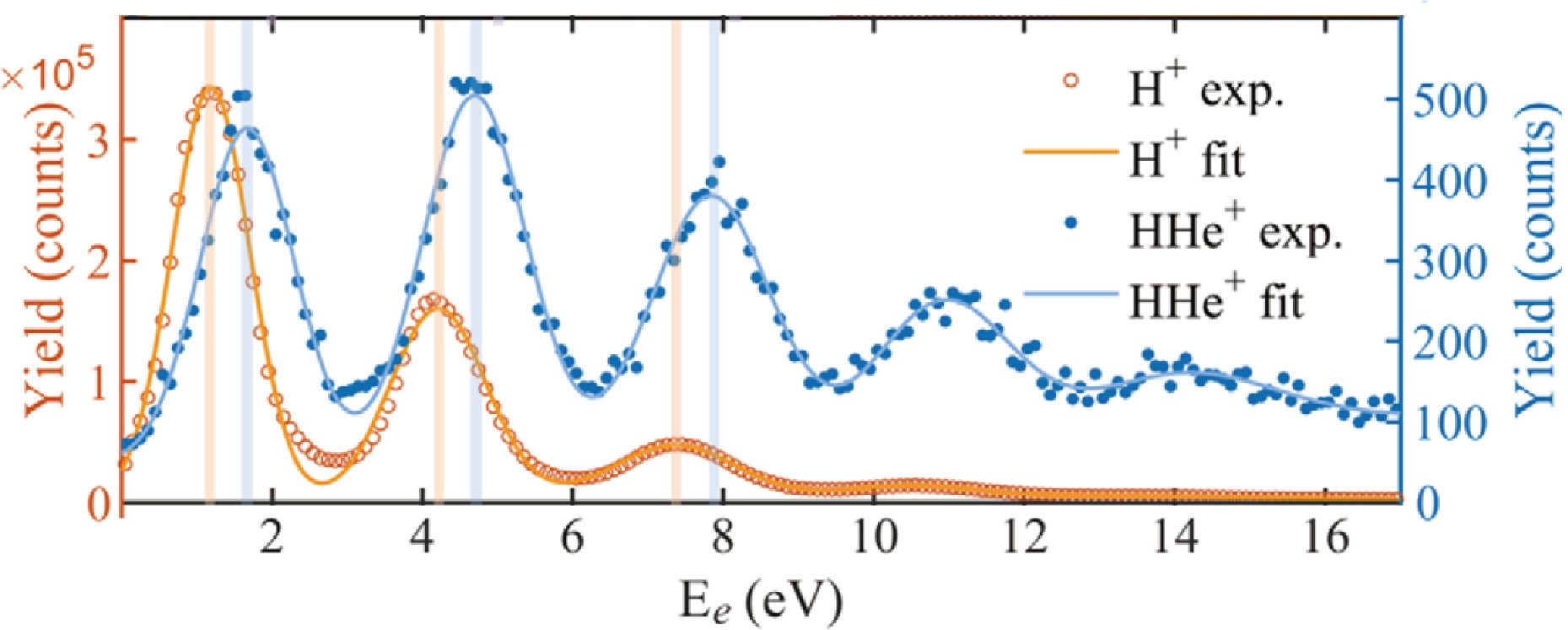
Superfluid helium nanodroplets are composed of thousands of helium atoms and offer an approach for cooling molecules down to 0.38 K [25]. Zhou et al. combined helium nanodroplet capturing and cooling molecules technology with electron–ion coincidence measurement technology to study dissociative ionization of H2 embedded in helium nanodroplets [26]. They found that isolated H2 molecules undergo dissociative ionization to produce H+ after being irradiated by femtosecond laser pulses. But helium atoms participate in the dissociative ionization of H2 molecules to form HHe+ in the helium droplets. As shown in FIG. 7, the electron spectrum corresponding to HHe+ shifted by 0.5 eV compared to that of H+. This measurement indicates that the dissociation process is enhanced for H2+ at lower vibrational levels in helium nanodroplets. This work demonstrates the influence of environment on the molecular dissociative ionization triggered by intense femtosecond laser pulses.
-
Few-cycle femtosecond laser pulses with a stabilized carrier envelope phase (CEP) can control the instantaneous electric field intensity and the electron motion within attosecond time accuracy. Liu et al. studied the dissociative ionization of CO molecules irradiated by few-cycle femtosecond laser pulse [27]. Two formation pathways of C2+ ions, CO2+→C2+ + O and CO3+→C2+ + O+, are identified. They are generated by electron re-collision excitation and electron re-collision ionization, respectively. It was further found that the ionic products of these two reaction channels presented an asymmetric distribution along the laser polarization direction. As shown in FIG. 8, the asymmetry parameter is out of phase for the emission direction of C2+ generated through electron re-collision excitation and electron re-collision ionization channels. Therefore, the emission direction can be controlled for the reaction products by changing the CEP of the few-cycle laser field. This study demonstrated for the first time that the high order dissociative ionization channel process can be controlled at the level of molecular electronic states by controlling the femtosecond laser instantaneous electric field.
Strong N2+ lasing, corresponding to the transition from B2
$\Sigma_{\mathrm{u}}^+ $ to X2$\Sigma_{\mathrm{g}}^+ $ , was observed when an intense femtosecond laser propagates in air [28]. The formation mechanism of N2+ lasing has garnered significant interest due to the important applications of remote detection. It has been proposed that both ionization and population transfer are involved [29, 30]. It has been confirmed that the N2+ lasing can be enhanced by controlling the population transfer among those involved quantum states with various kinds of laser fields [31−33]. Li et al. demonstrated that N2+ lasing at 391 nm is enhanced by 2 orders of magnitude by using polarization modulated laser pulses whose polarization direction varies temporally [31]. They concluded that the ionization rate kept constant when the laser polarization varied. The enhancement of N2+ lasing was attributed to the depletion of N2+ (X2$\Sigma_{\mathrm{g}}^+ $ , v=0) population through the efficient population transfer between X2$\Sigma_{\mathrm{g}}^+ $ state and A2Πu state by using the polarization modulated laser pulses. Later, it was further verified that the population of N2+ (X2$\Sigma_{\mathrm{g}}^+ $ , v=0) can be depleted almost completely by using a synthesized femtosecond laser field composed of a polarization modulated near-infrared 800-nm laser field and an infrared linearly polarized 1.6-μm laser field [33]. As shown in FIG. 9, the N2+ lasing at 391 nm was amplified by 5 orders of magnitude by the two-color intense femtosecond laser fields composed of a polarization modulated near-infrared laser pulse and a linearly polarized infrared laser pulse.The formation of H3+ and its isotopes has attracted much attention as an important initiator of chemical reactions in interstellar clouds. Zhou et al. prepared a low temperature deuterium molecular dimer (D2-D2) and measured the formation time of D3+ during the photochemical reaction D2-D2 + n
$\hbar $ ω→D3+ + D+e by using femtosecond laser pump-probe technique [34]. They coherently synthesized two-color laser fields consisting of a fundamental frequency light and its double frequency light. They further demonstrated that the D3+ emission direction can be controlled in the laboratory coordinates by precisely adjusting the phase of two-color laser fields. -
The rapid advancements in ultra-short, ultra-intense laser technology and optical field coherent synthesis mark a new era of laser waveform regulation. These breakthroughs provide powerful tools for controlling molecular reactions. In the case of strong-field laser chemistry, the strength of the laser electric field surpasses that of the Coulomb field within molecules. Consequently, by precisely controlling the waveform of ultra-short, ultra-intense laser pulses, researchers can measure and manipulate the motion of electrons and nuclei in molecules with attosecond temporal resolution. This capability opens up entirely new avenues for tailoring molecular reactions, called optochemistry [35]. Simultaneously, technologies such as high-order harmonic generation and X-ray free electron lasers have succeeded in generating attosecond light pulses. These innovations provide essential tools for visualizing and precisely manipulating electron and nuclear dynamics on attosecond timescales. Such breakthroughs have introduced revolutionary methodologies to quantum manipulation chemistry, molecular design, and related fields, thereby giving rise to a novel area of research known as attosecond chemistry or attochemistry [36, 37]. Despite the significant opportunities presented by optochemistry and attochemistry, further development is required regarding advanced techniques and theoretical models to achieve unprecedented spatiotemporal precision control over chemical reactions.
Ionization and Dissociation of Molecules Triggered by Intense Femtosecond Laser Pulses†
- Received Date: 05/03/2025
- Available Online: 27/10/2025
-
Key words:
- Molecular ionization /
- Molecular dissociation /
- Intense femtosecond laser /
- Strong-field laser chemistry /
- Attosecond chemistry
Abstract: Ionization and dissociation are fundamental processes that molecules undergo in intense femtosecond laser fields. Professor Fanao Kong is a pioneering researcher in this field within China. He has developed an orbital-based molecular ionization model and a laser field-assisted molecular dissociation model to elucidate experimental observations and predict potential applications. The predictions of these models have been corroborated by subsequent theoretical and experimental studies. This review highlights Professor Kong’s significant contributions to the study of molecular ionization and dissociation in intense femtosecond laser fields, emphasizing key advancements and outlining future directions in the field of strong-field laser chemistry.
首页
登录
注册


DownLoad: